[(Figure_1)TD$FIG]
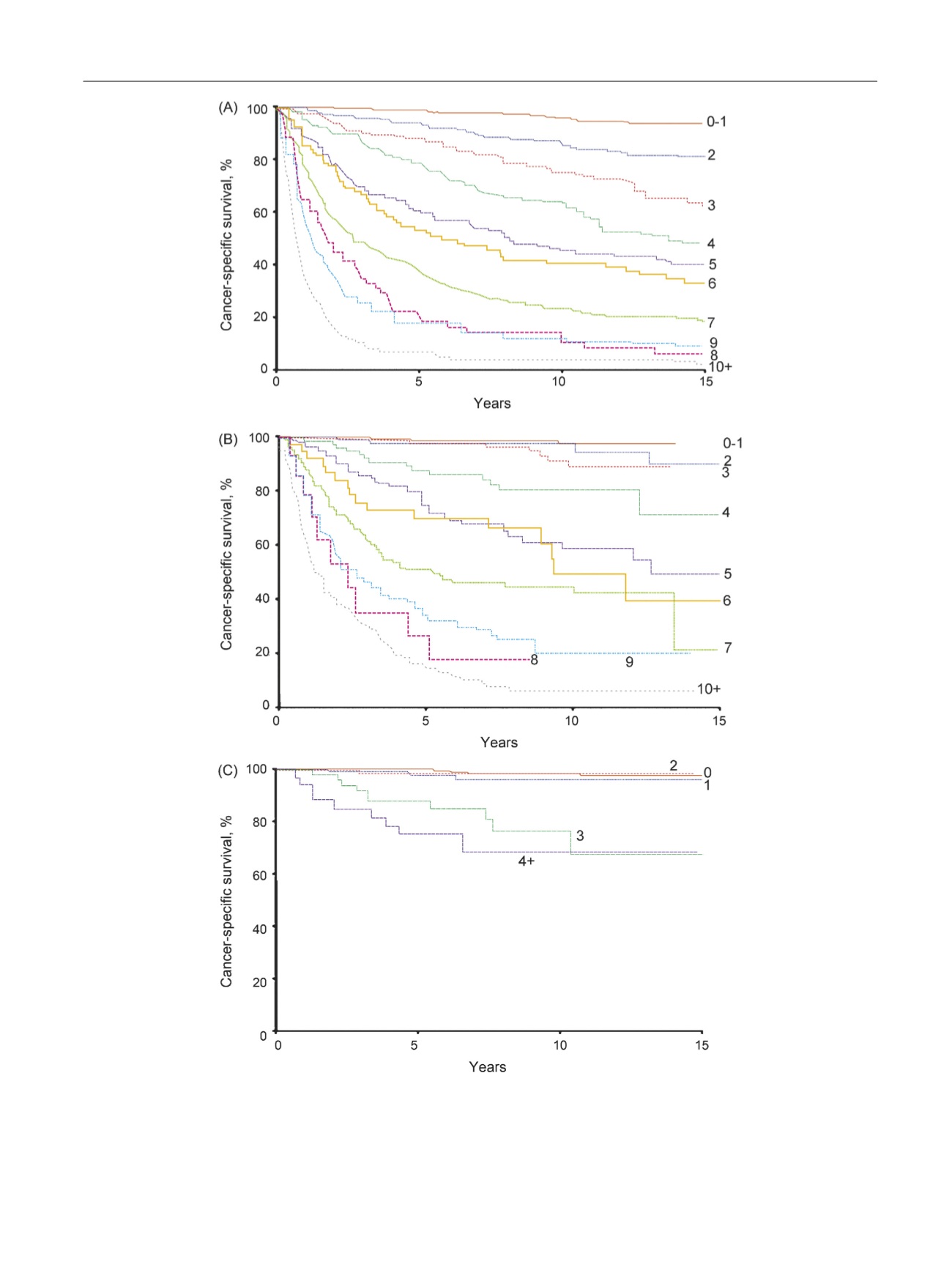
Figure 1 – Estimated cancer-specific survival stratified by tumor stage, size, grade, and necrosis (SSIGN) score in (a) the original radical nephrectomy
(RN) cohort, (b) the contemporary RN cohort, and (c) the contemporary partial nephrectomy (PN) cohort. Numbers at risk are denoted in
Tables 2–4. Because 134 patients (17%) in the contemporary PN cohort had an SSIGN score of 1, scores of 0 and 1 were not combined for this cohort,
as was done for the RN cohorts. Conversely, only 36 patients (5%) had a score between 4 and 13 and thus were combined.
E U R O P E A N U R O L O G Y 7 1 ( 2 0 1 7 ) 6 6 5 – 6 7 3
669




